廣東中專升學網為廣東初中升學考試民間信息交流平臺,本站主要為廣東中考生提供中專、中職、技校的擇校、報考指導服務,權威信息請以廣東省教育考試院和各中職招生院校官方信息為準。
廣東中專升學網為廣東初中升學考試民間信息交流平臺,本站主要為廣東中考生提供中專、中職、技校的擇校、報考指導服務,權威信息請以廣東省教育考試院和各中職招生院校官方信息為準。
湛江中考為大家帶來2024年廣東湛江中考招生計劃通知的詳細講解,希望能幫助大家順利備考哦。預祝大家考試成功哦。

2024年廣東湛江中考招生計劃通知
為做好2024年我市普通高中學校招生工作,根據《湛江市教育局 湛江市人力資源和社會保障局關于下達2024年高中階段學校指導性招生任務的通知》(湛教函〔2024〕60號)和湛江市教育局、湛江市招生委員會、湛江市人力資源和社會保障局《關于做好2024年初中學業水平考試與高中階段學校招生工作的通知》(湛教函〔2024〕76號)要求,經各縣(市、區)教育局和市直屬各普通高中學校審定上報、市教育局匯總,形成了2024年湛江市普通高中學校招生計劃,現予以公布。
一、 招生計劃情況
(一)總體計劃情況。
全市各類普通高中學校共計劃招生57950人。其中:公辦民辦普通高中學校統招生34750人、公辦國家級示范性和省一級普通高中學校指標生15073人、公辦民辦普通高中學校自主招生8127人(其中:公辦普通高中學校特色實驗班1013人、民辦普通高中學校普通生4150人、公辦民辦普通高中學校體育藝術特長生2964人)。具體計劃安排詳見附件1。
(二)統招生計劃情況。
全市公辦民辦普通高中學校計劃招收統招生共34750人,其中:市直屬的公辦普通高中學校廣東實驗中學湛江學校、湛江第一中學、湛江市第二中學、嶺南師范學院附屬中學、湛江農墾實驗中學、湛江市愛周高級中學的統招生計劃面向全市招生,湛江市實驗中學統招生計劃面向雷州市招生,湛江市二中海東中學統招生計劃面向市轄區招生;市直屬民辦普通高中學校的統招生計劃面向市轄區招生。赤坎區、霞山區、坡頭區、經開區、麻章區(以下統稱市轄區)公辦民辦普通高中學校的統招生計劃面向市轄區招生;各縣(市)公辦民辦普通高中學校統招生計劃面向本縣域招生。具體計劃安排詳見附件1。
(三)指標生計劃情況。
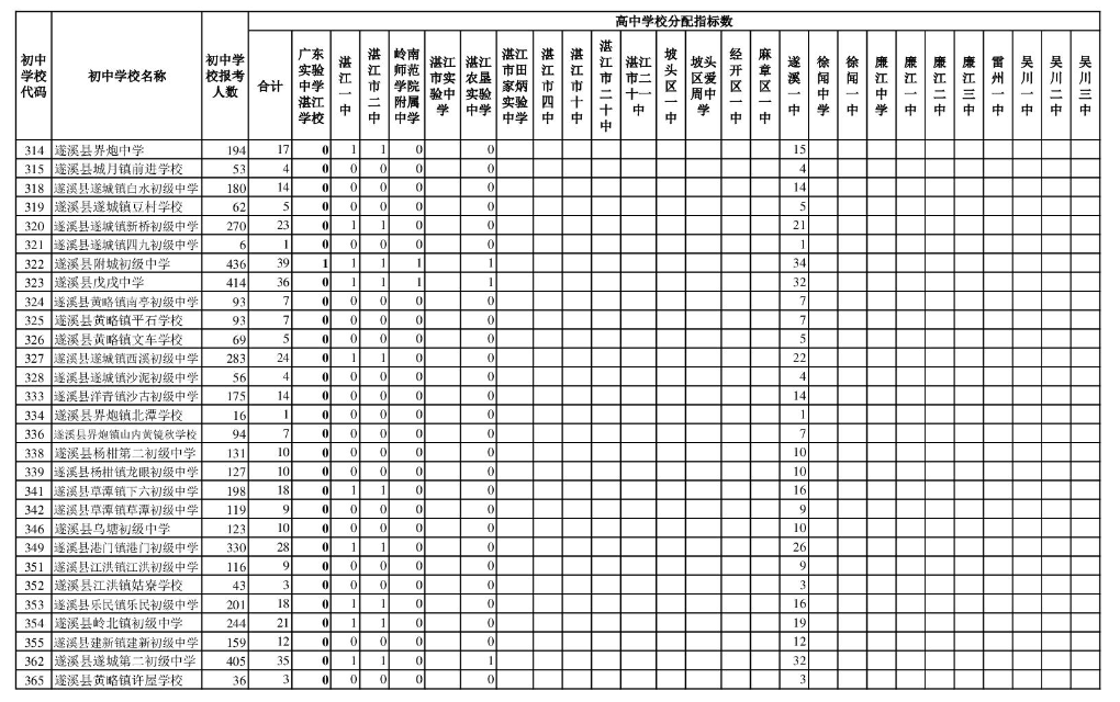
全市公辦國家級示范性和省一級普通高中學校計劃招收指標生共15073人。為落實公辦優質普通高中學校名額分配(簡稱“指標到校”)政策要求,將公辦國家級示范性和省一級普通高中學校50%的招生名額按中考報名學生總數直接分配到招生區域內初中學校(含民辦,下同),促進義務教育優質均衡發展。
分配辦法:普通高中學校分配到初中學校的指標生名額=(初中學校中考考生數÷普通高中學校相應招生區域的中考考生數)×普通高中學校分配到相應招生區域的指標生名額。
①市直屬的廣東實驗中學湛江學校、湛江第一中學、湛江市第二中學、嶺南師范學院附屬中學、湛江農墾實驗中學的指標生計劃面向全市初中學校分配,湛江市實驗中學的指標生計劃面向雷州市初中學校分配;②市轄區公辦國家級示范性和省一級普通高中學校的指標生計劃面向市轄區初中學校分配;③各縣(市)公辦國家級示范性和省一級普通高中學校的指標生計劃面向本縣域初中學校分配。具體分配情況詳見附件2。
(四)自主招生計劃情況。
全市公辦民辦普通高中學校自主招生共8127人。
1.公辦學校特色實驗班招生計劃。全市共有14所公辦優質普通高中學校獲準舉辦各類特色實驗班,分別為:廣東實驗中學湛江學校、湛江第一中學、湛江市第二中學、嶺南師范學院附屬中學、湛江市實驗中學、湛江市第四中學、湛江市第二十中學、湛江市第二十一中學、湛江市坡頭區第一中學、遂溪縣第一中學、廉江市廉江中學、廉江市第一中學、吳川市第一中學、吳川市第二中學,共計劃招生1013人。具體計劃詳見附件1。
2.民辦學校普通生自主招生計劃。全市8所民辦普通高中學校獲準在全市開展自主招生,分別為:湛江市寸金培才學校、湛江市港城中學、湛江市東方實驗學校、湛江市少林學校、湛江市崇文實驗學校、湛江市博雅學校、徐聞縣梅溪實驗學校、廉江市實驗學校,共計劃招生4150人。具體計劃詳見附件1。
3.體育藝術特長生招生計劃。全市有關公辦民辦普通高中學校共計劃招收體育藝術特長生2964人,其中:體育725人、音樂(舞蹈)784人、美術1455人,具體計劃詳見附件3。
二、有關工作要求
各縣(市、區)教育局、各普通高中學校要嚴格按照公布的招生計劃開展招生工作,各初中階段學校要據此指導考生自主填報志愿。各普通高中學校必須按照公布的計劃、范圍招生,不得無計劃、超計劃和違規跨地市招生,確保招生計劃的嚴肅性。經批準開展自主招生的公辦民辦普通高中學校,應依據學校辦學目標、定位和特色,制訂本校自主招生方案(含招生范圍、計劃、標準、辦法和程序等),報經縣(市、區)教育局和市教育局審核備案后提前向社會主動公開,并根據招生方案、學生學業水平考試成績,在中考結束后開展自主招生(體育藝術特長生除外),主動公開自主招生的各環節和錄取結果。民辦普通高中學校須按向社會公示的收費標準收費,不得擅自增加其它收費項目。
附件:
1.2024年湛江市普通高中學校招生計劃總表







2. 2024年湛江市公辦國家級示范性和省一級普通高中學校指標生名額分配情況表










3.2024年湛江市普通高中學校體育藝術特長生招生計劃表








注:體育傳統項目學校招收的特長生計劃應優先安排傳統項目。
以上就是有關2024年廣東湛江中考招生計劃通知的內容。更多廣東中職中專技工招生信息、廣東中職學校,廣東職高學校,敬請關注廣東初中升學網,也可以點擊【預約中職院校】提前看校,快人一步!
本文標題:2024年廣東湛江中考招生計劃通知@中考生,快來測一測適合報考的學校吧!
根據模考/估分情況,測算錄取概率,提供針對性的升學方案...我是:
考生情況:
填寫信息,獲取結果:
免責聲明
我已閱讀并同意《用戶隱私條款》
掃一掃添加企業微信
與廣東中專升學專業老師, 一對一咨詢,在線實時為你解答疑問!